반응형
1. 문제 소개
- 수학 유형 문제에 해당한다.
2. 코드
def set_test_case():
T = int(input())
CASE = []
for i in range (0,T):
line = input().split(" ") # 입력 문자열을 공백구분자로 분리
line = [int(x) for x in line] # 연산을 위해 str -> int 형 변한
CASE.append(line) # 케이스들을 새로운 list 에 담음
return CASE
# factorial 을 재귀로 간단히 구현
def factorial(n):
if n <=1:
return 1
return n * factorial(n-1)
def solution():
case = set_test_case() # 입력 케이스 처리
for i in case :
r,n = i # 강의 서쪽은 r, 동쪽은 n 에 대입
p = factorial(n-r) * factorial(r) # 조합의 구한 분모 값 계산
c = factorial(n) # 조합의 분자 값 계산
print(c//p) # 정답 출력
solution()
3. 코멘트
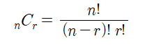
- 아래 조합 공식을 이용하여 문제를 풀면 쉽다.

- 너무 오랜만에 포스팅을 하는 것 같다. 요즘 회사 업무량이 많고, 주말에 여유가 없어 취미로 시작한 알고리즘 스터디도 좀처럼 참여가 어렵다. 그래도 꾸준히 해야겠지. +_+..
반응형
'Algorithm' 카테고리의 다른 글
| Baekjoon 백준 알고리즘 - 삼각형 만들기 (0) | 2022.05.01 |
|---|---|
| Baekjoon 백준 알고리즘 - 보물 ( 1026 ) (0) | 2022.05.01 |
| Baekjoon 백준 알고리즘 - 거북이 ( 8911 ) (0) | 2022.03.13 |
| Baekjoon 백준 알고리즘 - 영식이의 손가락 ( 1614 ) (0) | 2022.03.06 |
| Baekjoon 백준 알고리즘 - 폴리오미노 ( 1343 ) (0) | 2022.02.27 |